Wichtig! - Protokoll Tutorium 08.12.2022

Wichtig! - Protokoll Tutorium 08.12.2022

от Ano11063 Nym11063 -
Количество ответов: 0
Bezüglich Rentenrechnung wurde eine extra Übung besprochen, die nach der Laufzeit n gelöst werden musste. Bei der Anwendung der Formel sind Probleme aufgetreten und wir sind nicht zu dem erwarteten Ergebnis gekommen. Ich habe mir die Übung nochmal in Ruhe angeschaut.

Wir haben die folgende Formel angewendet (Laufzeit im Rahmen einer nachschüssigen Ratenzahlung - Screenshot aus dem den Studierenden zur Verfügung stehenden Foliensatz):
Laufzeit im Rahmen einer nachschüssigen Ratenzahlung
In der Aufgabenstellung ist allerdings nicht das Endkapital Kn sondern das Anfangskapital K0 angegeben! 
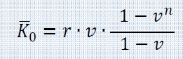
Deshalb darf man nicht die obenstehende Formel anwenden. Stattdessen muss man die Formel für den Barwert einer nachschüssigen Ratenzahlung anwenden (Screenshot aus dem den Studierenden zur Verfügung stehenden Foliensatz ) und nach der Laufzeit n auflösen. 

Barwert einer nachschüssigen Ratenzahlung

(Wenn man eine vorschüssige Ratenzahlung betrachten möchte, müsste man die entsprechende Formel anwenden und diese nach n umformen.)

Ich würde euch empfehlen, die bekannten Werte aus der Aufgabenstellung in die Formel für den Barwert einer nachschüssigen Ratenzahlung einzusetzen und mit den Werten nach n aufzulösen. Wenn man die Formel richtig umstellt, kommt man auch zu dem richtigen Ergebnis, nämlich 7,659 Jahren.

Versucht bitte selbstständig auf das Ergebnis zu kommen, damit wir am Donnerstag die möglicherweise aufgetretenen Probleme besprechen können.

Weitere betrachtete Themen:
  • Annuität
  • Tilgung

Liebe Grüße
Chiara

всего слов - 200